Поточний час: 19 квіт 2026, 17:41

Часовий пояс: UTC + 2 години



Почати нову тему Відповісти на тему  [ Повідомлень: 29 ]  На сторінку Пред.  1, 2
Автор Повідомлення
#24656Повідомлення 21 лип 2016, 09:28 
Голова клубу
Аватара користувача
Не в мережі

Звідки: Україна, Донецьк => Ірпінь
Дякував (ла) 7021 Подякували 2607
Мій електротранспорт: Tesla S
Хочу електротранспорт: е-панцирник
Только что рассчитывал оптимальную скорость движения электромобиля в длительных путешествиях. И у меня получилось, что если не учитывать пробег на одном заряде, то на оптимальную скорость никак не влияет расстояние между зарядками! Для меня это было неожиданностью. Я проверил формулы ещё раз, и убедился, что ошибок нет.
Подробнее напишу чуть позже.


Повернутися до початку
 Профіль  
Відповісти цитуючи  
#24677Повідомлення 21 лип 2016, 16:46 
Голова клубу
Аватара користувача
Не в мережі

Звідки: Україна, Донецьк => Ірпінь
Дякував (ла) 7021 Подякували 2607
Мій електротранспорт: Tesla S
Хочу електротранспорт: е-панцирник
Идея расчёта такова. В длительных поездках на электромобиле следует учитывать время зарядок. Это время зависит от того, сколько вы потратили электроэнергии. Если мы слишком быстро ехали, то нам придётся долго стоять на зарядке. И чем больше времени мы потратим в дороге, тем меньше нам нужно заряжаться. Очевидно, что где-то есть золотая середина, когда средняя скорость (с учётом остановок на зарядки) становится максимальной.
Я взял измеренные расходы электромобиля и посчитал сколько нужно стоять на зарядке в зависимости от скорости движения и пройденного расстояния. Потом по сумме времён движения авто и стоянке на зарядке вычислил среднюю скорость в пути. Графики получились очень интересные. Расстояние между зарядками (если оно не лимитирует скорость) не влияет на оптимальную скорость. Зато на неё очень сильно влияет мощность зарядки.

Начал я Kangoo electrcite. У меня есть данные расхода для диапазона скоростей 30-110км/ч. Получается, если у вас штатная зарядка на 2,5кВт, то вам нужно ехать медленнее 30км/ч (насколько медленнее я не знаю). А если на борту "полный фарш" на 22кВт, то оптимально ехать со скоростью 100км/ч. При этом средняя скорость (вместе с зарядками) будет равна 48км/ч. Естественно нужно смотреть на ёмкость, чтоб вообще доехать до зарядки. Но если это вас не лимитирует, то ехать нужно именно со скоростью 100км/ч. Не больше, не меньше.

Остальные электромобили скоро будут.


Додаткові файли:
Коментарій до файлу: V - скорость авто по трассе, км/ч.
Vsr - фактическая средняя скорость по всему пути с учётом зарядок, км/ч

РеноКенго1.gif
РеноКенго1.gif [ 20.46 КБ | Переглядів: 12335 ]
Повернутися до початку
 Профіль  
Відповісти цитуючи  
#24680Повідомлення 21 лип 2016, 18:23 
Творець електромобіля, засновник клубу
Не в мережі

Звідки: г. Киев , Турьи Реметы Закарпатье .
Дякував (ла) 348 Подякували 706
Мій електротранспорт: Славута Электро АС привод VW T5 комби привод Dong Feng электро
Оптимальная скорость получится , если время в пути будет равно времени зарядки , т.е. если ток заряда 100 А , то ток разряда должен быть тоже 100 А , а исходя из этого и скорость движения .

_________________
Мы не настолько богаты , чтобы ездить на бензине .
Мы не настолько здоровы , чтобы дышать выхлопными газами .
Поэтому мы ездим на электричестве .
больше 200 000 км на асинхронном электро приводе Славянка .


Повернутися до початку
 Профіль  
Відповісти цитуючи  
#24691Повідомлення 21 лип 2016, 23:03 
Творець електромобіля
Аватара користувача
Не в мережі

Звідки: Днепр
Дякував (ла) 45 Подякували 119
Мій електротранспорт: ЗАЗ-965А
немного не по теме, но раз речь зашла о дальних поездках и расчетах, немного отойду в сторону.

Цитата:
Инженеры EMAV разработали прицеп-генератор, получивший название PRU (Power Regeneration Unit). Он имеет не только свои собственные литий-ионные батареи, но и дизельный четырехцилиндровый генератор мощностью 28 лошадиных сил.
Прикрепленный, к примеру, к электропрототипу Fiat 500 EV автономный генератор сможет увеличить запас хода до 1126 километров, при этом расход дизтоплива за все время пробега составит около 25 литров! То есть расход топлива составит примерно два литра на сто километров.


Насколько я помню, раньше читал что без генератора запас хода порядка 250км.

Так вот, давайте посчитаем смысл такого девайса. Возьмем для примера мой авто. 10кВт батарея, на 100км пробега. т.е.дальше 100км без подзарядки не проеду. Берем дизель-генератор

http://rozetka.com.ua/forte_fgd6500e/p1027509/
Номинальная мощность: 4.4 кВт
Номинальное напряжение: 220 В
Объем топливного бака: 15 л
Расход топлива: 0.32 л/ч

Едем без генератор со средней скоростью 60км/час - значит весь путь преодолеем за 1час 40минут.

Теперь прицепим генератор на прицеп и поедем с той же скоростью (увеличение расхода не учитываем, там поидее копейки) - за это же время (1час 40мин) мы проехали 100км, и в то же время влили 6,5кВт энергнии.

На борту у нас 6,5кВт которых нам хватит на 65км, т.е. еще на 1час 5мин. за это время зарядим до 4,4кВт, на которых проедем еще 40км за 40мин. и еще 2,2кВт на 22км. Дальше не считаем - спишем на потери.

Под итожим:
- без прицепа - пробег 100км.
- с прицепом - пробег 100+65+40+22=227км. Время в пути 1ч40мин+1ч5мин+40мин=3ч25мин. Все это время генератор работал и съел 3,5ч*0,32л/ч=1,12л что равно 0,5л/100км

Это конечно все теория, но тем не менее я думаю имеет право на жизнь. В перспективе хочу эту теорию проверить на практике. Если примерно так и будет, то например приехать в Киев гораздо реальнее своим ходом, заряжаясь два раза - например в Решетиловке (175км) и Пирятине (155км) и остается еще до Киева 160км.

_________________
ЗАЗ 965 - DimonXP, пробег 7800 км


Повернутися до початку
 Профіль  
Відповісти цитуючи  
#24693Повідомлення 21 лип 2016, 23:37 
Не в мережі

Звідки: Україна
Дякував (ла) 1653 Подякували 329
Мій електротранспорт: а ти чого, пацан, інтєрєсуєшся?
DimonXP писав(ла):
http://rozetka.com.ua/forte_fgd6500e/p1027509/
Номинальная мощность: 4.4 кВт
Номинальное напряжение: 220 В
Объем топливного бака: 15 л
Расход топлива: 0.32 л/ч

Где-то тут вкралась ошибка. С такими параметрами єто безтопливньій генератор, солярка только для смазки )) В литре солярьі 10.2кВтч. Сжигаем 3.26кВтч, генерируем 4.4 )) Возможно 0.32л/кВт*ч, єто более реальная цифра. Тогда КПД так себе, как и у всех подобньіх устройств. За такую же цену можно взять моторчик с разборки с расходом 197г/кВтч на оптимальньіх оборотах. Думал о такой компоновке, имеет право на жизнь. Вопрос только, позволяют ли заводские EV заряжаться при езде :?


Повернутися до початку
 Профіль  
Відповісти цитуючи  
#24695Повідомлення 21 лип 2016, 23:50 
Творець електромобіля
Аватара користувача
Не в мережі

Звідки: Днепр
Дякував (ла) 45 Подякували 119
Мій електротранспорт: ЗАЗ-965А
Dream Tractor писав(ла):
DimonXP писав(ла):
http://rozetka.com.ua/forte_fgd6500e/p1027509/
Номинальная мощность: 4.4 кВт
Номинальное напряжение: 220 В
Объем топливного бака: 15 л
Расход топлива: 0.32 л/ч

Где-то тут вкралась ошибка. С такими параметрами єто безтопливньій генератор, солярка только для смазки )) В литре солярьі 10.2кВтч. Сжигаем 3.26кВтч, генерируем 4.4 )) Возможно 0.32л/кВт*ч, єто более реальная цифра. Тогда КПД так себе, как и у всех подобньіх устройств. За такую же цену можно взять моторчик с разборки с расходом 197г/кВтч на оптимальньіх оборотах. Думал о такой компоновке, имеет право на жизнь.



Точно, я еще и подумал почему такой расход детский. пересчитаем расход - 13,1 кВтч*0,32л=4,192л. Тогда расход 1,85л/100км. Хотя чего это мы к расходу солярки привязались - пусть хоть 5литров на 100км - суть идеи - увеличить пробег.
А генератор выбрал первый попавшийся, просто для точки отсчета.

Dream Tractor писав(ла):
Вопрос только, позволяют ли заводские EV заряжаться при езде :?

Насколько я знаю - нет. Но это касается заводских зарядок, и блокировок. Но кто мешает на там же саксо подкинуть отдельную зарядку на аккумулятор и потихоньку ее заряжать втихаря от электроники.

_________________
ЗАЗ 965 - DimonXP, пробег 7800 км


Повернутися до початку
 Профіль  
Відповісти цитуючи  
#24703Повідомлення 22 лип 2016, 09:05 
Не в мережі

Звідки: Украина
Дякував (ла) 29 Подякували 193
Хочу електротранспорт: любой
Dream Tractor писав(ла):
Думал о такой компоновке, имеет право на жизнь. Вопрос только, позволяют ли заводские EV заряжаться при езде :?



Оффтоп
в 2000 годах Рено Кангу выпускал гибрид с двигателем 500 см. и вроде два генератора по 5 кВт. Не знаю как там подключали к батареи или к двигателю. Ну и сейчас Шевроле Вольт такой.
Зображення


Повернутися до початку
 Профіль  
Відповісти цитуючи  
#24704Повідомлення 22 лип 2016, 09:18 
Творець електромобіля, засновник клубу
Не в мережі

Звідки: г. Киев , Турьи Реметы Закарпатье .
Дякував (ла) 348 Подякували 706
Мій електротранспорт: Славута Электро АС привод VW T5 комби привод Dong Feng электро
Все мелкие электростанции (до 10 кВт) , потребляют около 0,3 л/кВт*ч , и только с увеличением мощности до 100 кВт , удельный расход падает до 0,2 л/кВт*ч (ДТ) , чудес не бывает . На своём Т5 в комбинированном режиме (дизель+электро) получал 5л/100 км + 5 кВт*ч/100км , при скорости 80 км/ч .

_________________
Мы не настолько богаты , чтобы ездить на бензине .
Мы не настолько здоровы , чтобы дышать выхлопными газами .
Поэтому мы ездим на электричестве .
больше 200 000 км на асинхронном электро приводе Славянка .


Повернутися до початку
 Профіль  
Відповісти цитуючи  
#24734Повідомлення 22 лип 2016, 19:34 
Голова клубу
Аватара користувача
Не в мережі

Звідки: Україна, Донецьк => Ірпінь
Дякував (ла) 7021 Подякували 2607
Мій електротранспорт: Tesla S
Хочу електротранспорт: е-панцирник
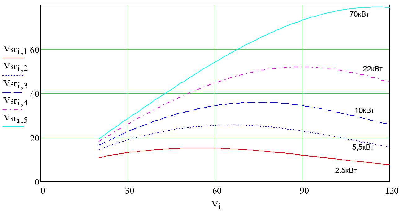
Следующий электромобиль - Славута ЕВ от ВячеславаМ. Замеры Вячеслав сделал в диапазоне 20-120км/ч. Замеры мощности потребления на разных скоростях сделаны столь точно, что величина достоверности аппроксимации полиномом третей степени достигла 0,9979 (если вы понимаете о чём я).
У СлавутыЕВ данные интереснее - при мощности зарядки 22кВт оптимальная скорость движения равна 90км/ч (пробег 145км). При этом можно достигнуть среднюю скорость 50-55км/ч.
Если впереди у СлавутыЕВ предполагается лишь розетка на 2,5кВт, то ей в любом случае нужно ехать со скоростью 55км/ч. Тогда она будет продвигаться со средней скоростью 15км/ч. (пробег 220км)
Ну и самое интересное. Даже если засунуть в СлавутуЕВ контроллер быстрой зарядки и заряжать её мощностью 70кВт, то всё равно ей лучше ехать со скоростью не 120км/ч (максимальная), а 115км/ч. Средняя скорость тогда будет 78км/ч


Додаткові файли:
Коментарій до файлу: V - скорость авто по трассе, км/ч.
Vsr - фактическая средняя скорость по всему пути с учётом зарядок, км/ч

СлавутаЕВ.gif
СлавутаЕВ.gif [ 15.59 КБ | Переглядів: 12261 ]
Коментарій до файлу: Lmax - пробег на одном заряде, км.
V - скорость авто по трассе, км/ч.

СлавутаЕВ-растояние.gif [10.74 КБ]
Завантажень: 0
Повернутися до початку
 Профіль  
Відповісти цитуючи  
#24736Повідомлення 22 лип 2016, 20:43 
Член клубу
Аватара користувача
Не в мережі

Звідки: Київ/Україна
Дякував (ла) 304 Подякували 199
Dream Tractor писав(ла):
Вопрос только, позволяют ли заводские EV заряжаться при езде :?
Й питання №2 - як "нісановські консерви" будуть відчувати себе в "буферному режимі"?
Хоча літій Михалича наче почувається в такому режимі добре! - я про сонячну панель на Електрі.

_________________
https://www.facebook.com/paskalex
Видумане назад вже не задумаєш.


Повернутися до початку
 Профіль  
Відповісти цитуючи  
#24738Повідомлення 22 лип 2016, 21:05 
Site Admin
Аватара користувача
Не в мережі

Звідки: город Киев
Дякував (ла) 423 Подякували 1179
Мій електротранспорт: Nissan Leaf
Им эти панели - что комариный укус. Главное предусмотреть, чтоб не перезарядили.

_________________
Чем скуднее знания, тем категоричней суждения.

"Глупцы все, кто глупцами кажутся и половина тех, что не кажется". (Бальтасар Грасиан)


Повернутися до початку
 Профіль  
Відповісти цитуючи  
#24743Повідомлення 23 лип 2016, 08:47 
Голова клубу
Аватара користувача
Не в мережі

Звідки: Україна, Донецьк => Ірпінь
Дякував (ла) 7021 Подякували 2607
Мій електротранспорт: Tesla S
Хочу електротранспорт: е-панцирник
Продолжим. Мне попались данные по Volkswagen e-up за старинный 2012год. Данные немного фантастичны - минимальный расход достигается на скорости 25км/ч и составляет 60Вт*ч/км. Для 4х-местной машины результаты несколько фантастичны. Ну да ладно.
В итоге, для штатной зарядки от 220В нужно ехать 45-50км/ч. Случай с 22кВт является теоретическим - машина не имеет возможности полноценно использовать мощность от Менекес Тип2. Но в ней есть быстрая зарядка CCS на 30кВт. Для этого случая по трассе оптимально ехать со скоростью 110-115км/ч.
Но самое интересное - график пробега. Получается, что для максимального пробега нужно ехать на скорости 25км/ч. Можно проехать 310км. И это на батареи в 18,5кВт 8O Оставим это на совести производителя.


Додаткові файли:
Коментарій до файлу: V - скорость авто по трассе, км/ч.
Vsr - фактическая средняя скорость по всему пути с учётом зарядок, км/ч

Volkswagen-e-up.gif
Volkswagen-e-up.gif [ 14.44 КБ | Переглядів: 12220 ]
Коментарій до файлу: V - скорость авто по трассе, км/ч.
Lmax - пробег на одном заряде, км.

Volkswagen-e-up-пробег.gif
Volkswagen-e-up-пробег.gif [ 11.81 КБ | Переглядів: 12220 ]
Повернутися до початку
 Профіль  
Відповісти цитуючи  
#41553Повідомлення 03 вер 2017, 00:53 
Не в мережі

Звідки: Харьков
Дякував (ла) 22 Подякували 43
Цитата:
Опыты показали, что с увеличением крутящего момента коэффициент сопротивления качению интенсивно возрастает

http://motorzlib.ru/books/item/f00/s00/z0000030/st016.shtml

* Эффект на ведущих колесах

Полный привод возможно на пиковых нагрузках экономичнее одно приводных, за счёт распределение крутящего момента и работы колёс в более накатыстых режимах.


Повернутися до початку
 Профіль  
Відповісти цитуючи  
#41554Повідомлення 03 вер 2017, 01:45 
Творець електромобіля
Аватара користувача
Не в мережі

Звідки: Германия, Дюссельдорф
Дякував (ла) 331 Подякували 938
Мій електротранспорт: Citroen Saxo, Renault Kangoo Electrcity, Elect'road & Cleanova II Plus
Ездил во вторник в соседний аэропорт. Так удачно совпало, что как только выехал на автобан то сразу же попалась фура, у них по правилам 90км/ч максималка и едут 92-93км/ч и у меня в теории 95км/ч в реальности те же 92-93км/ч аля круиз контроль. Расход был около 6кВт при такой скорости, по приборам 34% (34Ач напряжение 120В) на 51км. Из них 40км по автобану со спонсором ;) А так 1-1,1Ач не по автобану. Вот теперь думаю менять макс скорость на 100-110км/ч при перепрошивке контроллера когда поставлю литий или оставить как есть, т.к. максималка работает не хуже круиз контроля, а спонсоров на такой скорости уже не найти :D.

С уважением,

Александр.

_________________
кВт•ч≠кВт≠кВт/ч

Проехал на электротяге
25 000 км

Мы не унаследовали планету Земля у наших отцов, мы отбираем ее у наших детей!


Повернутися до початку
 Профіль  
Відповісти цитуючи  
Показати повідомлення за:  Поле сортування  
Почати нову тему Відповісти на тему  [ Повідомлень: 29 ]              На сторінку Пред.  1, 2

Часовий пояс: UTC + 2 години


Хто зараз на конференції

Зараз цей форум переглядають: немає зареєстрованих користувачів і гості: 56


Ви не можете створювати нові теми
Ви не можете відповідати на повідомлення
Ви не можете редагувати свої повідомлення
Ви не можете видаляти свої повідомлення
Ви не можете додавати додаткові файли

Найти:
Створено на основі phpBB® Forum Software © phpBB Group