Поточний час: 20 жовт 2025, 15:30

Часовий пояс: UTC + 2 години



Почати нову тему Відповісти на тему  [ Повідомлень: 43 ]  На сторінку Пред.  1, 2, 3  Наступ.
Автор Повідомлення
 Заголовок повідомлення: Re: Обзор аккумуляторов для ЭТ
#44001Повідомлення 15 жовт 2017, 13:36 
Не в мережі

Звідки: Украина
Дякував (ла) 29 Подякували 193
Хочу електротранспорт: любой
может лучше тут выкладывать ссылки на официальные datasheet (ну и дополнительную инфо от себя у кого что есть) ?


Повернутися до початку
 Профіль  
Відповісти цитуючи  
 Заголовок повідомлення: Re: Обзор аккумуляторов для ЭТ
#44069Повідомлення 16 жовт 2017, 22:01 
Власник електровелосипеда, член клубу
Аватара користувача
Не в мережі

Звідки: Kyiv, Ukraine
Дякував (ла) 129 Подякували 393
Мій електротранспорт: Восемь электробайков
Хочу електротранспорт: Tesla Y, BMWi2, спорткар на основе Smart купе.
ДядяВася писав(ла):
Ну так писвал уже - находите неточности, излагайте здесь, а я вверху поправлю.

Подправляю
Yuasa
- 40 А, 3.75В
,1.4кг.,170х110х35мм.,16-17С,4-5 тыс.циклов, 150Втч,
- цена 27-29$/шт., 180-190$/кВтч

От себя добавляю.

LG - 1298300
- 48Ач, менее 1мОм, 3,66В, 0,715 кг, 350Х98Х12мм, 6-8С, более 1000 (3000?) циклов, 177Втч.
- цена 29-32$/шт., 160-180$/кВтч
- исполнение - узкий "пакет" с пластинчитьіми клемами с разньіх сторон.
- 4 кг/кВтч

KS ("узкие пакетьі")
28-30Ач, менее 2мОм, 3,7В, 0,6кг, 375Х105Х7мм, 5-6С, 1000 - циклов, 100-105Втч.
-цена 14-17$/шт, 140-165$/кВтч.
исполнение - узкий "пакет" с пластинчитьіми клемами с разньіх сторон.
- 5,7 - 6кг/кВтч


Повернутися до початку
 Профіль  
Відповісти цитуючи  
 Заголовок повідомлення: Re: Обзор аккумуляторов для ЭТ
#44076Повідомлення 17 жовт 2017, 01:15 
Не в мережі

Звідки: Україна
Дякував (ла) 1653 Подякували 329
Мій електротранспорт: а ти чого, пацан, інтєрєсуєшся?
У LG-15 средняя точка 3.85в


Повернутися до початку
 Профіль  
Відповісти цитуючи  
 Заголовок повідомлення: Re: Обзор аккумуляторов для ЭТ
#44082Повідомлення 17 жовт 2017, 08:52 
Творець електромобіля
Аватара користувача
Не в мережі

Звідки: Германия, Дюссельдорф
Дякував (ла) 331 Подякували 938
Мій електротранспорт: Citroen Saxo, Renault Kangoo Electrcity, Elect'road & Cleanova II Plus
У тесла модулей указано напряжения полной зарядки 4,2В×6S=25,2В, а средняя точка в зависимости от нагрузки (надо учитывать для 200-220Ач емкости) 3,6-3,7В.

С уважением,

Александр.

_________________
кВт•ч≠кВт≠кВт/ч

Проехал на электротяге
25 000 км

Мы не унаследовали планету Земля у наших отцов, мы отбираем ее у наших детей!


Повернутися до початку
 Профіль  
Відповісти цитуючи  
 Заголовок повідомлення: Re: Обзор аккумуляторов для ЭТ
#44250Повідомлення 19 жовт 2017, 18:36 
Творець електромобіля
Аватара користувача
Не в мережі

Звідки: Германия, Дюссельдорф
Дякував (ла) 331 Подякували 938
Мій електротранспорт: Citroen Saxo, Renault Kangoo Electrcity, Elect'road & Cleanova II Plus
lu4 писав(ла):
LG - 1298300
- 48Ач, менее 1мОм, 3,66В, 0,715 кг, 350Х98Х12мм, 6-8С, более 1000 (3000?) циклов, 177Втч.
- цена 29-32$/шт., 160-180$/кВтч
- исполнение - узкий "пакет" с пластинчитьіми клемами с разньіх сторон.
- 4 кг/кВтч


В данных нет ошибки? Все таки 245Втч/кг. Такая плотность энергии у 18650 с 3000мАч и 3,7В.

С уважением,

Александр.

_________________
кВт•ч≠кВт≠кВт/ч

Проехал на электротяге
25 000 км

Мы не унаследовали планету Земля у наших отцов, мы отбираем ее у наших детей!


Повернутися до початку
 Профіль  
Відповісти цитуючи  
 Заголовок повідомлення: Re: Обзор аккумуляторов для ЭТ
#44253Повідомлення 19 жовт 2017, 19:06 
Власник електрояхти, член клубу
Аватара користувача
В мережі

Звідки: Київ
Дякував (ла) 546 Подякували 439
Мій електротранспорт: Електромот круізер
Хочу електротранспорт: будую вітрильну яхту з електромотором
DeLike писав(ла):
lu4 писав(ла):
LG - 1298300
- 48Ач, менее 1мОм, 3,66В, 0,715 кг, 350Х98Х12мм, 6-8С, более 1000 (3000?) циклов, 177Втч.
- цена 29-32$/шт., 160-180$/кВтч
- исполнение - узкий "пакет" с пластинчитьіми клемами с разньіх сторон.
- 4 кг/кВтч


В данных нет ошибки? Все таки 245Втч/кг. Такая плотность энергии у 18650 с 3000мАч и 3,7В.

С уважением,

Александр.


Подробнее про эти ячейки
viewtopic.php?p=39257#p39257
и
viewtopic.php?p=41533#p41533 (тест)
и
http://escooter.org.ua/forum/7-2109-27561-16-1505116235 (тест)

_________________
Завітайте в наш автосервіс в Києві на лівому березі
https://www.oars.com.ua/
https://maps.app.goo.gl/Fiss91KXzLZVK5ep7


Повернутися до початку
 Профіль  
Відповісти цитуючи  
 Заголовок повідомлення: Re: Обзор аккумуляторов для ЭТ
#49902Повідомлення 14 січ 2018, 19:42 
Не в мережі

Звідки: Украина
Дякував (ла) 2 Подякували 0
DeLike писав(ла):
lu4 писав(ла):
LG - 1298300
- 48Ач, менее 1мОм, 3,66В, 0,715 кг, 350Х98Х12мм, 6-8С, более 1000 (3000?) циклов, 177Втч.
- цена 29-32$/шт., 160-180$/кВтч
- исполнение - узкий "пакет" с пластинчитьіми клемами с разньіх сторон.
- 4 кг/кВтч


В данных нет ошибки? Все таки 245Втч/кг. Такая плотность энергии у 18650 с 3000мАч и 3,7В.

С уважением,

Александр.

Наверное, ошибки нет, т.к. 4 кг/кВтч = 250 Втч/кг )


Повернутися до початку
 Профіль  
Відповісти цитуючи  
 Заголовок повідомлення: Re: Обзор аккумуляторов для ЭТ
#70084Повідомлення 21 лист 2018, 19:06 
Творець електромобіля, член клубу
Не в мережі

Звідки: Жмеринка
Дякував (ла) 155 Подякували 683
Мій електротранспорт: Ел-Пежо 205 - 30000км ........ ..... Ел-FAW 6371 - 70000км
Ребята,предложили АКБ(еще сухие),номиналов нет,хозяин не может сложить продажную цену,может кто подскажет что за зверь?


Додаткові файли:
IMG_1073.jpg
IMG_1073.jpg [ 459.32 КБ | Переглядів: 21442 ]
IMG_1074.jpg
IMG_1074.jpg [ 496.51 КБ | Переглядів: 21442 ]
IMG_1076.jpg
IMG_1076.jpg [ 562.08 КБ | Переглядів: 21442 ]
IMG_1077.jpg
IMG_1077.jpg [ 461.89 КБ | Переглядів: 21442 ]
IMG_1079.jpg
IMG_1079.jpg [ 502.22 КБ | Переглядів: 21442 ]

_________________
Пробіг на Эл-Пежо 30 000км
Пробіг на єл-FAW 6371 60 000км
Повернутися до початку
 Профіль  
Відповісти цитуючи  
 Заголовок повідомлення: Re: Обзор аккумуляторов для ЭТ
#70086Повідомлення 21 лист 2018, 19:22 
Творець електромобіля, засновник клубу
Не в мережі

Звідки: г. Киев , Турьи Реметы Закарпатье .
Дякував (ла) 345 Подякували 706
Мій електротранспорт: Славута Электро АС привод VW T5 комби привод Dong Feng электро
Аккумуляторы стационарной установки свинцово-кислотные моноблочные . Используются для систем аварийного электроснабжения .

_________________
Мы не настолько богаты , чтобы ездить на бензине .
Мы не настолько здоровы , чтобы дышать выхлопными газами .
Поэтому мы ездим на электричестве .
больше 200 000 км на асинхронном электро приводе Славянка .


Повернутися до початку
 Профіль  
Відповісти цитуючи  
 Заголовок повідомлення: Re: Обзор аккумуляторов для ЭТ
#70123Повідомлення 22 лист 2018, 10:45 
Творець електромобіля, член клубу
Не в мережі

Звідки: Жмеринка
Дякував (ла) 155 Подякували 683
Мій електротранспорт: Ел-Пежо 205 - 30000км ........ ..... Ел-FAW 6371 - 70000км
Вячеслав М писав(ла):
Аккумуляторы стационарной установки свинцово-кислотные моноблочные . Используются для систем аварийного электроснабжения .

Вечеслав,а можете сориентировать по их мощности(примерно) и по цене?

_________________
Пробіг на Эл-Пежо 30 000км
Пробіг на єл-FAW 6371 60 000км


Повернутися до початку
 Профіль  
Відповісти цитуючи  
 Заголовок повідомлення: Re: Обзор аккумуляторов для ЭТ
#82890Повідомлення 24 трав 2019, 11:13 
Активіст форуму
Не в мережі

Звідки: Дніпро
Дякував (ла) 36 Подякували 153
Давайте рассмотрим влияние температуры эксплуатации аккумуляторов на примере одних из лучших ячеек на сегодняшний день Samsung SDI 94Ah

Зображення
Зображення
Зображення
Зображення
Зображення

Как видно из datasheet на ячейки, увеличение температуры эксплуатации с 25°С до 45°С уменьшает ресурс батарей с 4600 циклов до 2000 циклов, а просто хранение при температуре 60°С за два с половиной года сделает батарею не пригодной к эксплуатации.


Повернутися до початку
 Профіль  
Відповісти цитуючи  
 Заголовок повідомлення: Re: Обзор аккумуляторов для ЭТ
#82911Повідомлення 24 трав 2019, 14:30 
Активіст форуму
Аватара користувача
Не в мережі

Звідки: Харьков
Дякував (ла) 13 Подякували 9
Хочу електротранспорт: LaNOS гибрид возможен
тяжелая она


Повернутися до початку
 Профіль  
Відповісти цитуючи  
 Заголовок повідомлення: Re: Обзор аккумуляторов для ЭТ
#82913Повідомлення 24 трав 2019, 15:01 
Активіст форуму
Не в мережі

Звідки: Дніпро
Дякував (ла) 36 Подякували 153
Я так смотрю Вы не способны учиться и вести конструктивный диалог :?
Если Вы считаете что Samsung SDI 94Ah тяжелые то вот Вам datasheet на одни из самых живучих li-ion батарей Yuasa LEV-50N
Зображення
и одни из самых легких на данный момент LG X N2.1 60Ah
Зображення
Как видно из данных Samsung имеют плотность энергии 173Вт*ч/кг Yuasa 108Вт*ч/кг а LG 263Вт*ч/кг. Правда LG это мягкий пакет и готовая сборка 10s3p весит уже 31кг что дает плотность на уровне 192Вт*ч/кг. Так же прошу обратить внимание на количество циклов у легких LG и тяжелых Samsung и Yuasa.
Хотя Вы опять увели разговор о влиянии температуры на Li-ion аккумуляторы в сторону, мы смогли рассмотреть данные трех разных типов ячеек: высокотовые и живучие Yuasa, легкие но с относительно коротким сроком службы LG и нечно среднее между ними Samsung.


Повернутися до початку
 Профіль  
Відповісти цитуючи  
 Заголовок повідомлення: Re: Обзор аккумуляторов для ЭТ
#86485Повідомлення 10 лип 2019, 12:42 
Творець електромобіля
Аватара користувача
Не в мережі

Звідки: Германия, Дюссельдорф
Дякував (ла) 331 Подякували 938
Мій електротранспорт: Citroen Saxo, Renault Kangoo Electrcity, Elect'road & Cleanova II Plus
Это что за китайский даташит или что курят в самсунге, что у одной ячейки около 350 киловаттчасов энергии?)))))

Додаткові файли:
Samsung-SDI-94-Ah-cell-specs-2-13.jpg
Samsung-SDI-94-Ah-cell-specs-2-13.jpg [ 27.81 КБ | Переглядів: 20685 ]


Я конечно понимаю, что кило тут лишнее, но речь о даташите от самсунга :wallbash: :irre: :lachtot:

Дальше. 20мОм Ri ячейки при минус 25°C? Это же почти 2 Ома на ВВБ)))))) Мягко говоря, при 50А (это около 18кВт) уже около 100В падение напряжения и от 18кВт останеться 13кВт)))

Додаткові файли:
Samsung-SDI-94-Ah-cell-specs-3-13.jpg
Samsung-SDI-94-Ah-cell-specs-3-13.jpg [ 41.11 КБ | Переглядів: 20683 ]


С уважением,

Александр.

_________________
кВт•ч≠кВт≠кВт/ч

Проехал на электротяге
25 000 км

Мы не унаследовали планету Земля у наших отцов, мы отбираем ее у наших детей!


Повернутися до початку
 Профіль  
Відповісти цитуючи  
 Заголовок повідомлення: Re: Обзор аккумуляторов для ЭТ
#86778Повідомлення 17 лип 2019, 15:32 
Не в мережі

Звідки: Украина
Дякував (ла) 29 Подякували 193
Хочу електротранспорт: любой
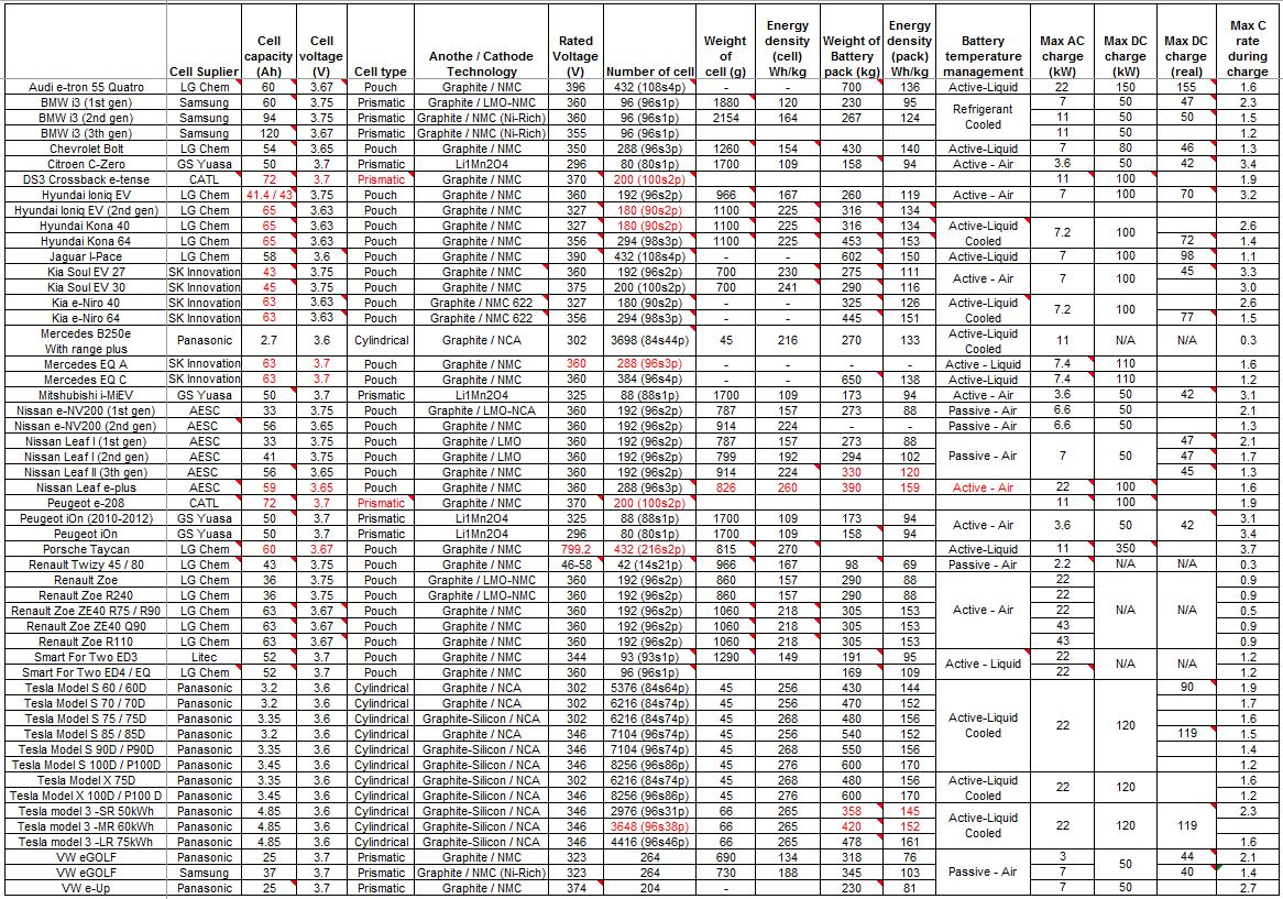
украл где-то


Додаткові файли:
bat.jpg
bat.jpg [ 327.03 КБ | Переглядів: 20576 ]
Повернутися до початку
 Профіль  
Відповісти цитуючи  
Показати повідомлення за:  Поле сортування  
Почати нову тему Відповісти на тему  [ Повідомлень: 43 ]              На сторінку Пред.  1, 2, 3  Наступ.

Часовий пояс: UTC + 2 години


Хто зараз на конференції

Зараз цей форум переглядають: немає зареєстрованих користувачів і гості: 23


Ви не можете створювати нові теми
Ви не можете відповідати на повідомлення
Ви не можете редагувати свої повідомлення
Ви не можете видаляти свої повідомлення
Ви не можете додавати додаткові файли

Найти:
Створено на основі phpBB® Forum Software © phpBB Group